用户名: 密码:  用户登录   新用户注册  忘记密码  账号激活
您的位置:教学资源网 >> 试卷 >> 数学试卷
高中数学编辑
广西桂林市2010届高三第一次调研考试(数学理)(扫描版)
下载扣金币方式下载扣金币方式
需消耗0金币 立即下载
0个贡献点 立即下载
0个黄金点 立即下载
VIP下载通道>>>
提示:本自然月内重复下载不再扣除金币
  • 资源类别试卷
    资源子类名校月考
  • 教材版本不限
    所属学科高中数学
  • 适用年级高三年级
    适用地区大纲地区
  • 文件大小562 K
    上传用户stephen
  • 更新时间2010/1/16 16:06:58
    下载统计今日0 总计27
  • 评论(0)发表评论  报错(0)我要报错  收藏
1
0
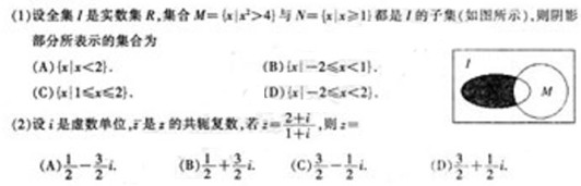
资源简介

相关资源高级搜索
  • 暂时没有相关评论

请先登录网站关闭

  忘记密码  新用户注册